BER - Bit Error Rate

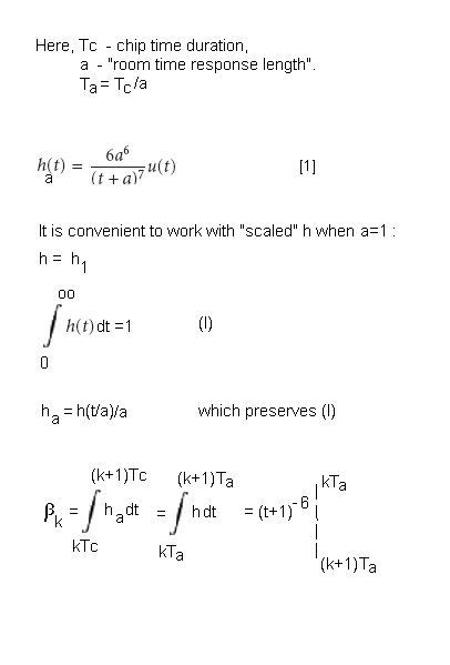
Comments for computer program:


 
Q-function. Wikipedia.
erf. Wikipedia
Erfc package choice.


 

Suspended and intuitive discussion.

 



 


Modification and comparision with [12]
Small noise case. Part I.
Small noise case. Part II.


Copyright (C) 2009 Konstantin Kirillov.