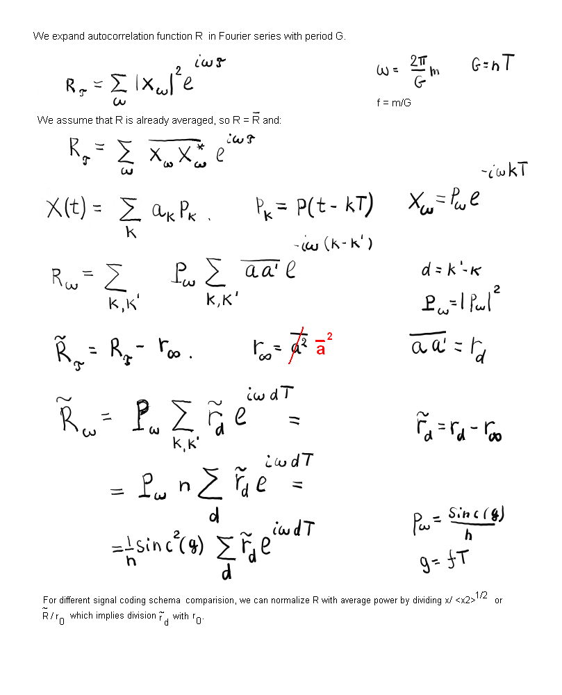
Pulse Correlation in Modulated Optical Signal

Brainstorming



Example
R and r
R and r. Continued.









Example





Thoughts